产品目录
联系我们
地 址:江苏省南通市如东县沿海经济开发区海滨二路20号
电 话:+86-513-68503528
传 真:+86-513-68503528
网 址:www.jshb-p.com
邮 编:226407
| 资讯搜索 |
产品目录
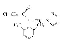
吡唑草胺
一、名称和结构
(1)中文通用名称 :吡唑草胺
(2)英文通用名称 : metazachlor
(3)化学名称 :N-(2,6-二甲基苯基)-N-(吡唑-1-甲基)-氯乙酰胺
(4)结构式 :
(5)分子式 :C14H16ClN3O
(6)分子量 :197.6614
(7)CA登记号:67129-08-2
三、毒性:急性经口LD50:大鼠3160mg/kg(雄/雌),急性经皮LD50:大鼠>2000mg/kg(雄/雌)
四、应用范围:属乙酰苯胺类除草剂,可防除禾本科杂草和双子叶杂草。为芽前低毒除草剂。
五、产品规格:95原药
六、包装:25公斤/桶
七、生产厂家
浙江禾本科技有限公司。
(7)CAS登录号:67129-08-2
其他产品







